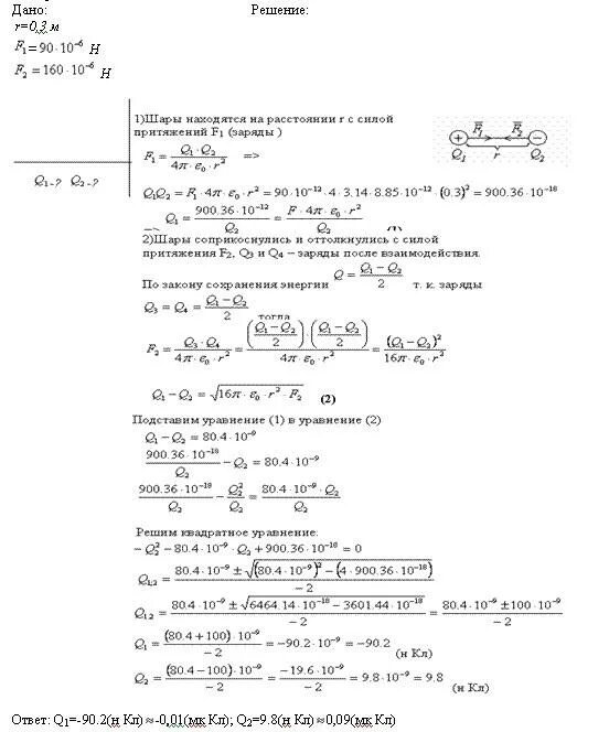
1 из 2 одинаковых проводящих шариков