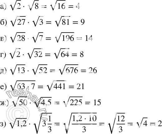
1 в корне 2 сколько будет