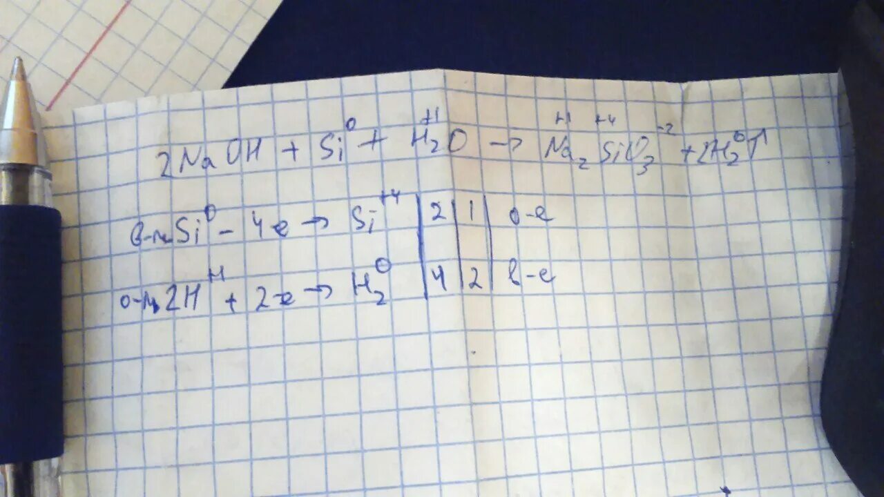
2 h2o na2sio3