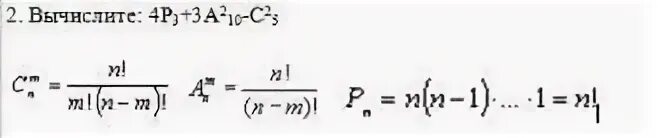
3 3р 2 0