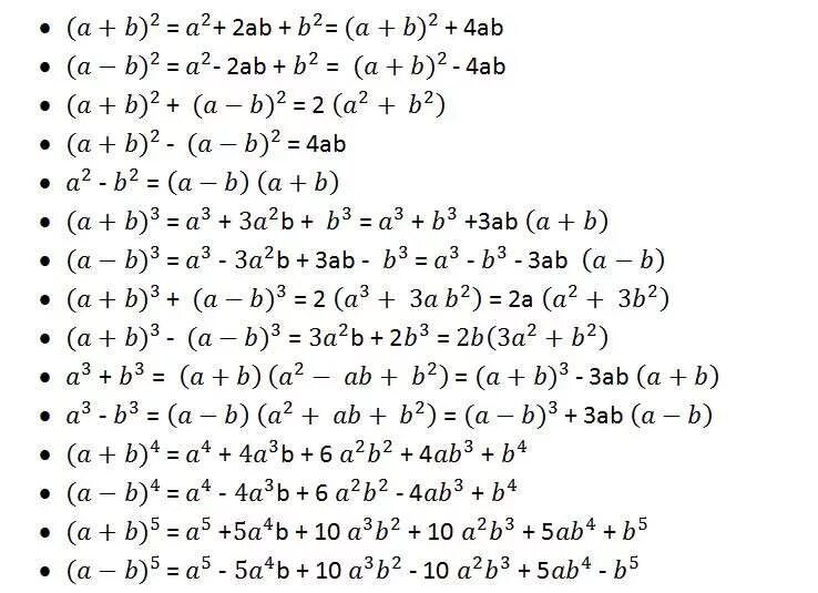
3 формулы по алгебре 7 класс