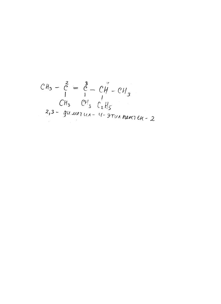
3 метил 3 этилпентен 1 структурная формула