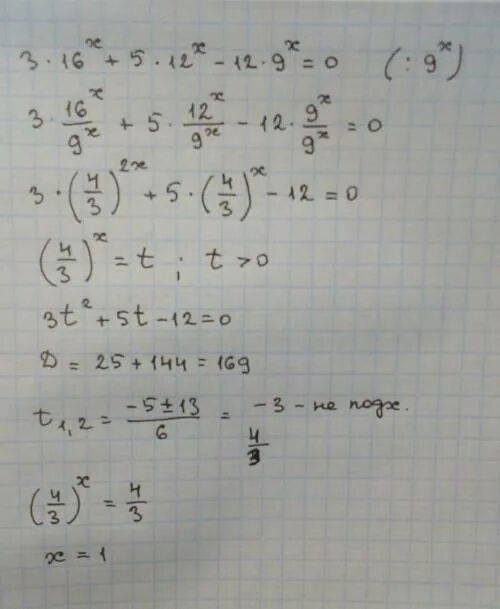
5 x 4 x 12 0