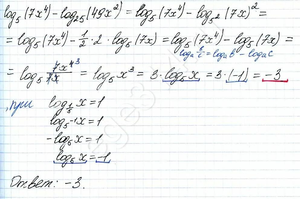
6 4 3 49 7 49 решение