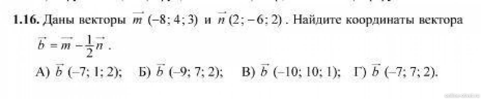
A 3b длину вектора