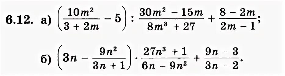
А а 8 12 а упростить выражение