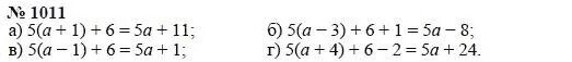
Алгебра 1011 мордкович