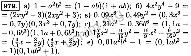
Алгебра 8 класс макарычев 49