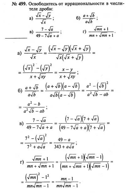
Алгебра 8 класс макарычев 816