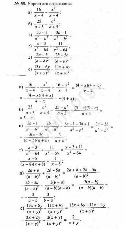
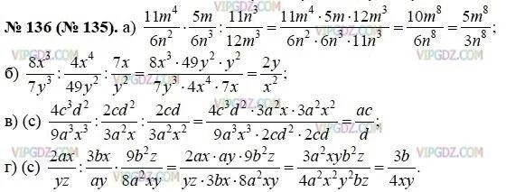
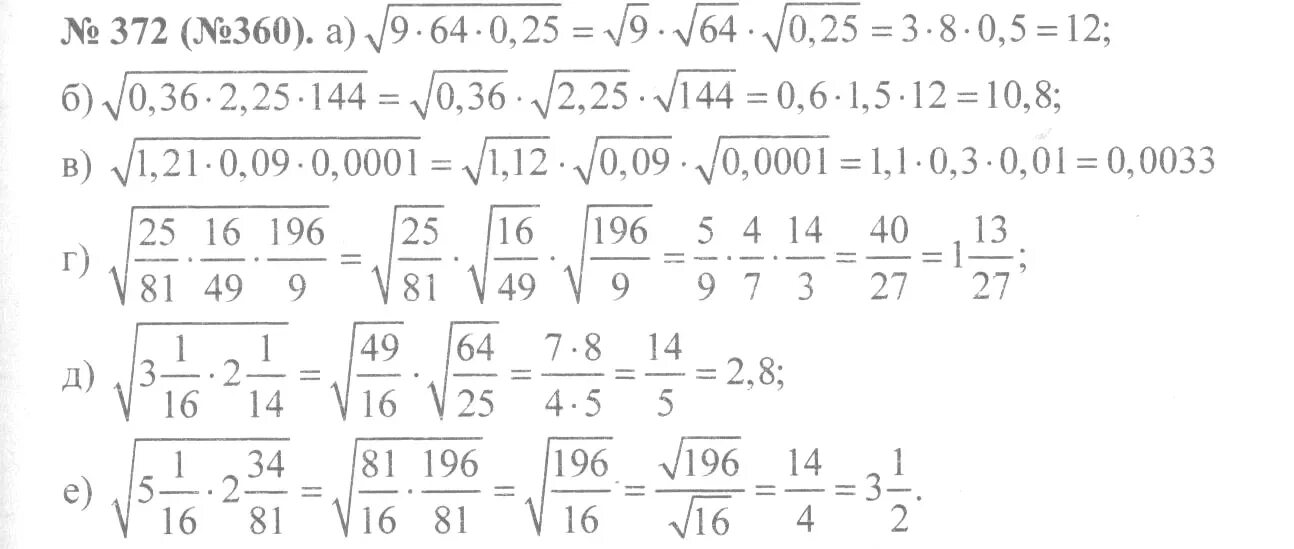
Алгебра 8 класс макарычев миндюк номер 81