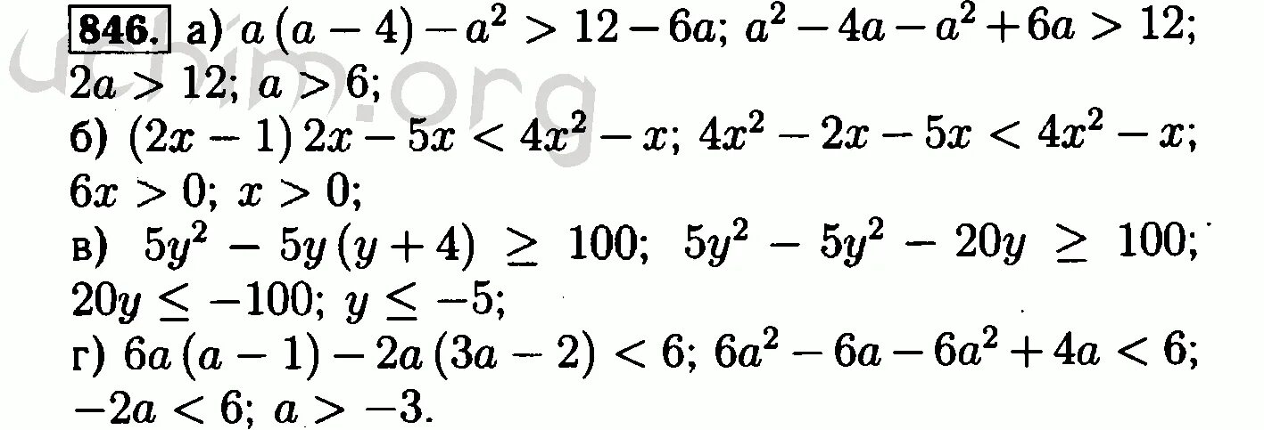
Алгебра 8 класс макарычев найдите значение выражения