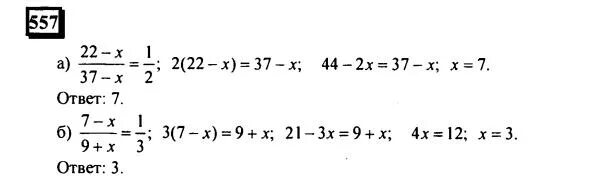
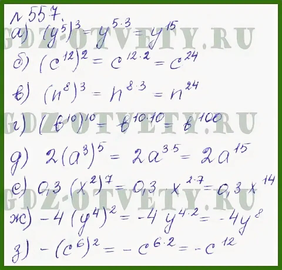
Алгебра номер 557