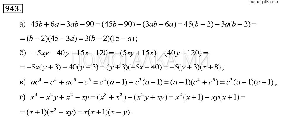
Алгебра седьмого класса базовый уровень