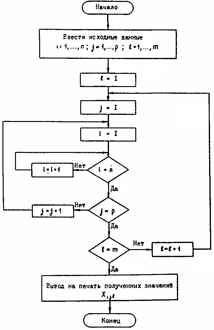
Алгоритм сбора системы