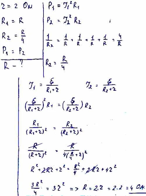
Батарея аккумуляторов с внутренним сопротивлением 0.2 ом