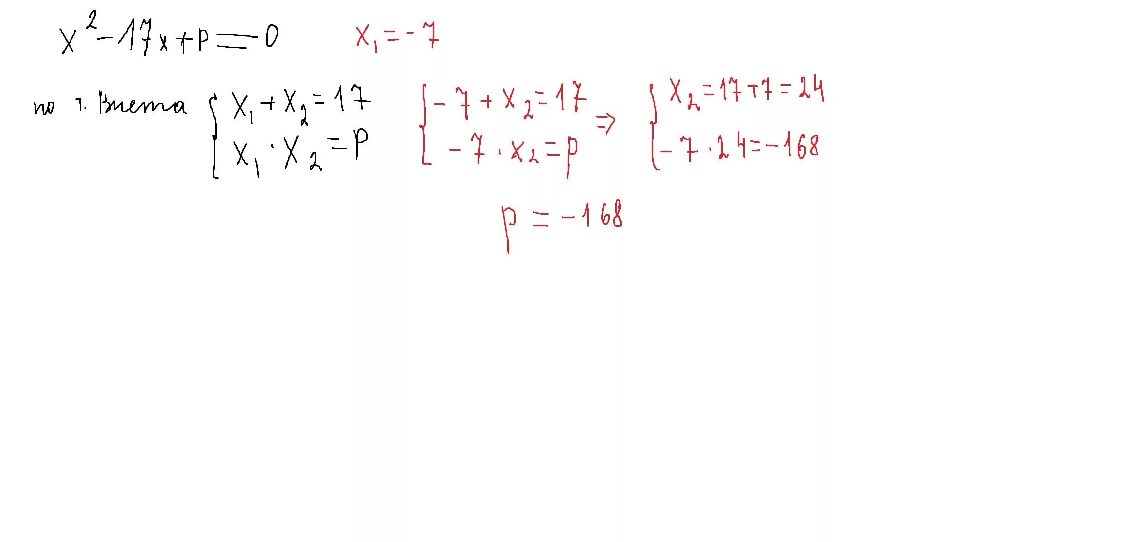
Число 7 является корнем уравнения х