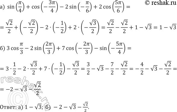
Cos 3пи 2 a 2 2