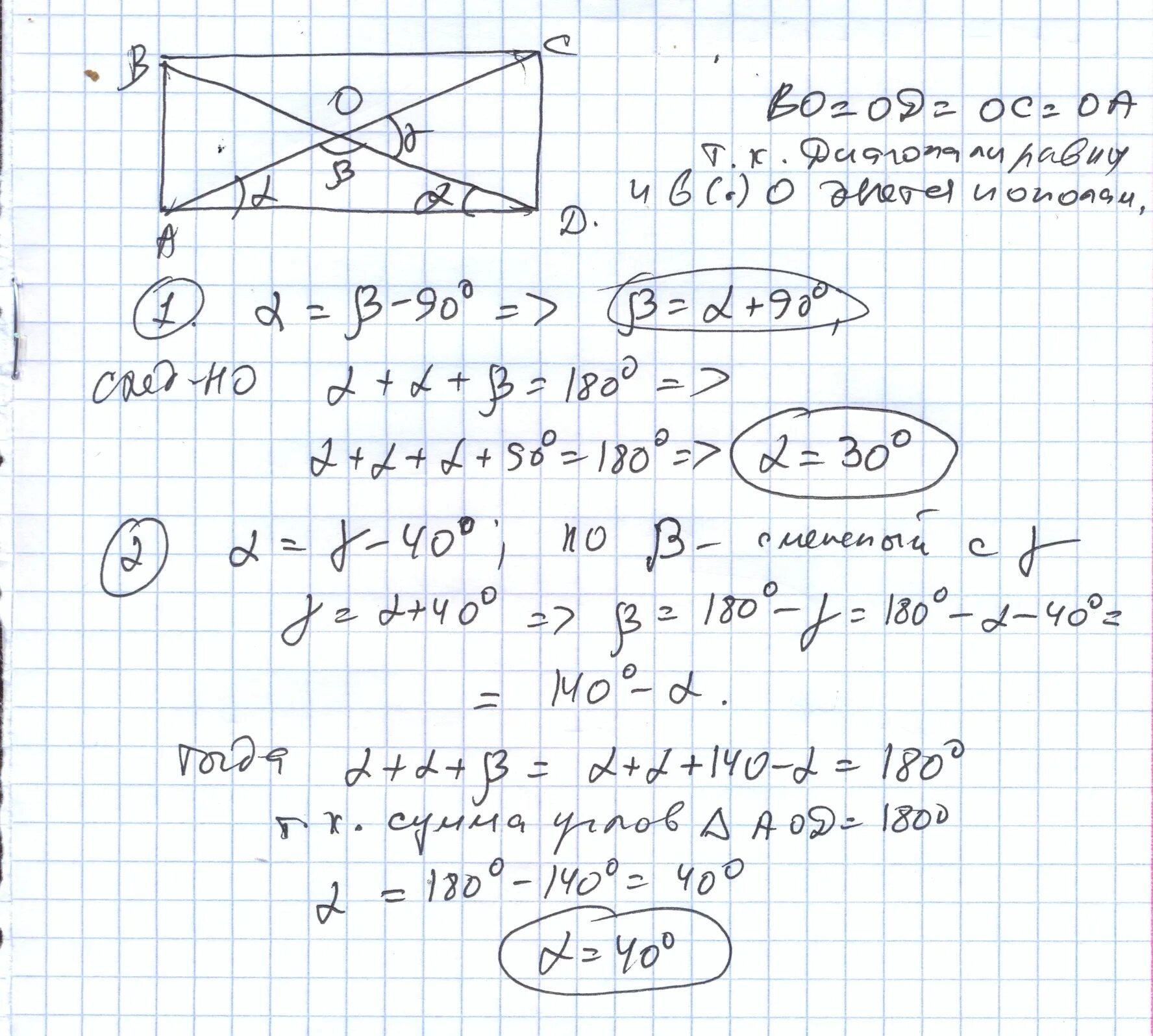
Дано aod 90 oad 70 ocb 20