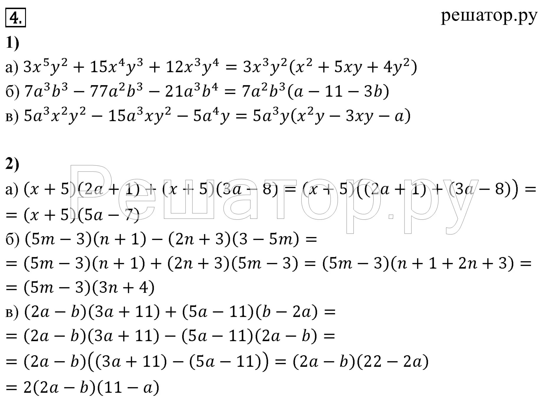
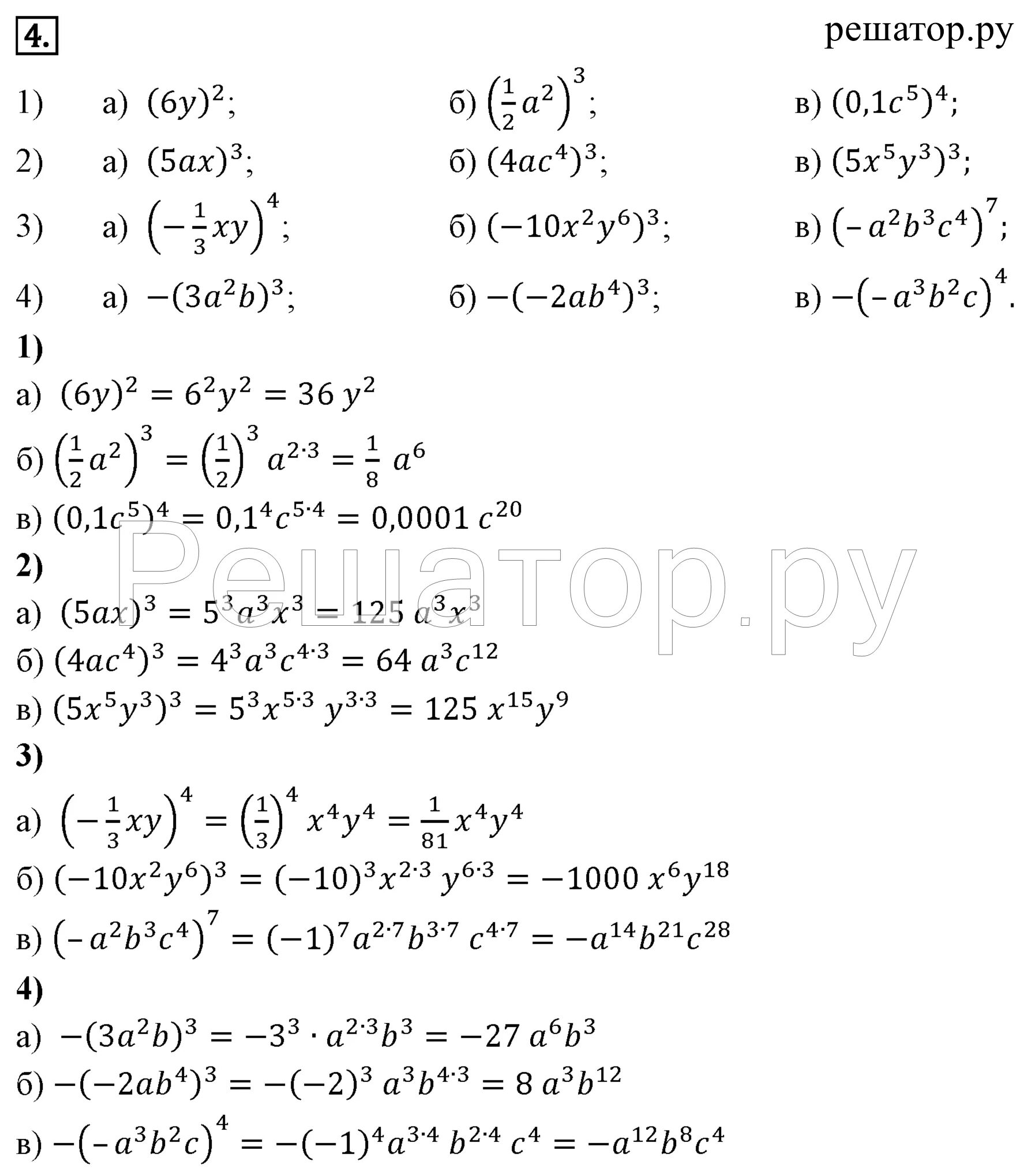
Дидактический материал звавич 7 класс ответы