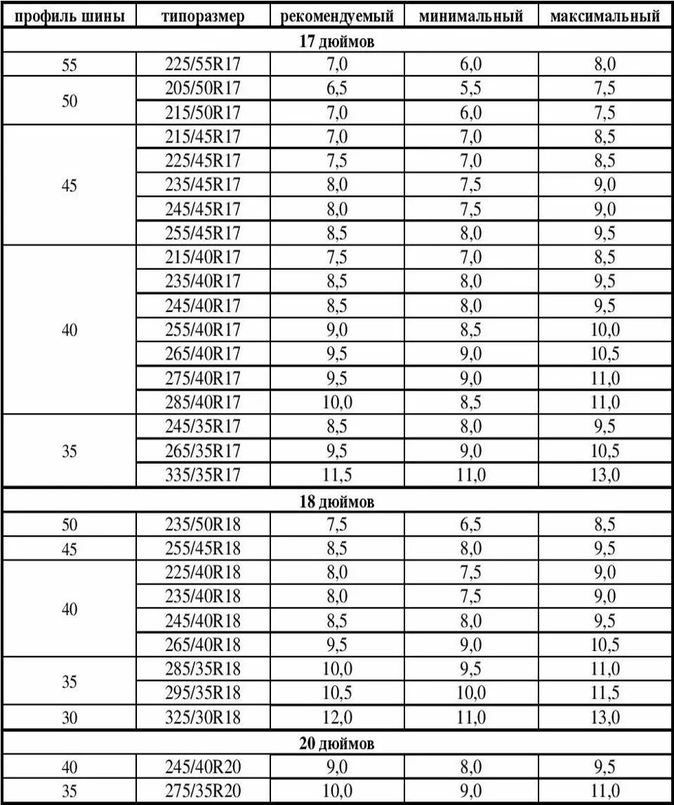
Диск ширина 6.5 какая резина