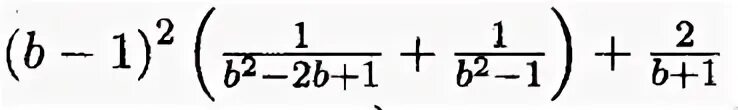
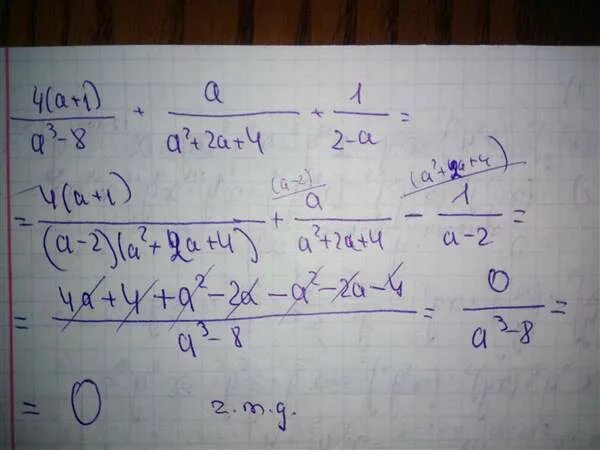
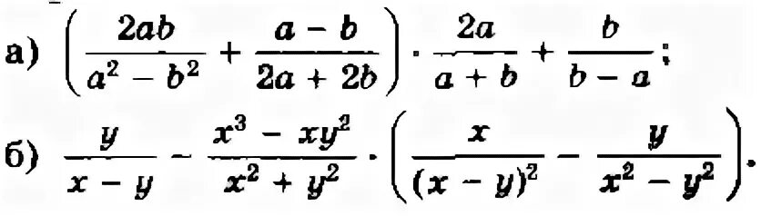
Докажите что при всех значениях х