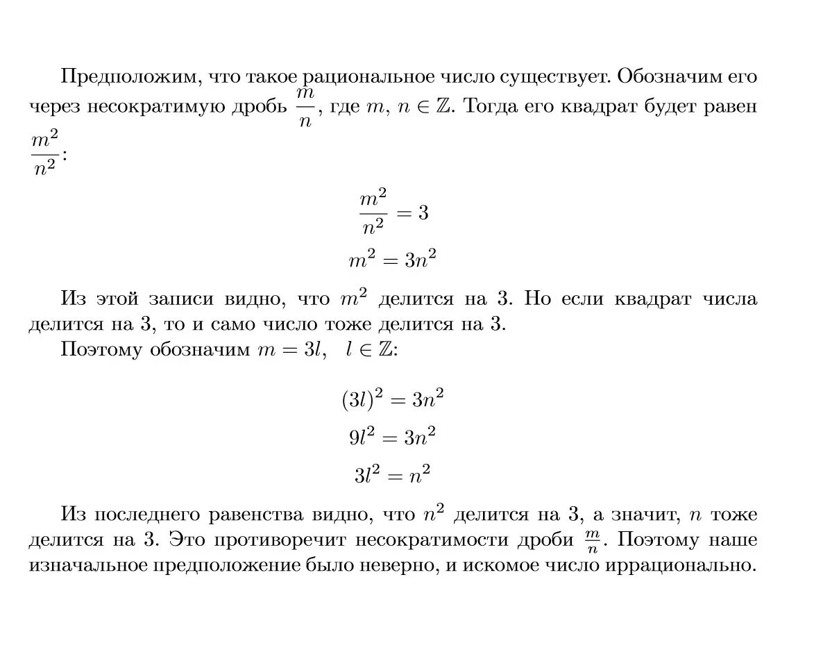
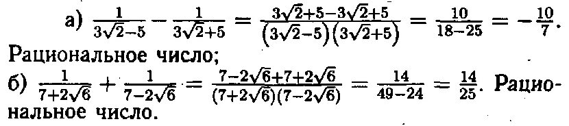
Докажите что значение есть число рациональное