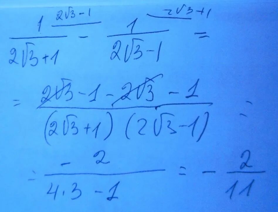
Докажите что значение выражения есть число