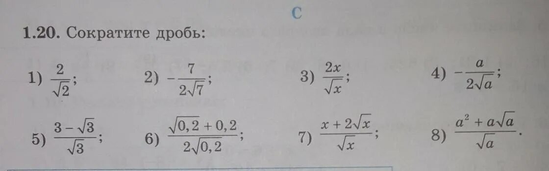
Дробь в степени 1 1 4