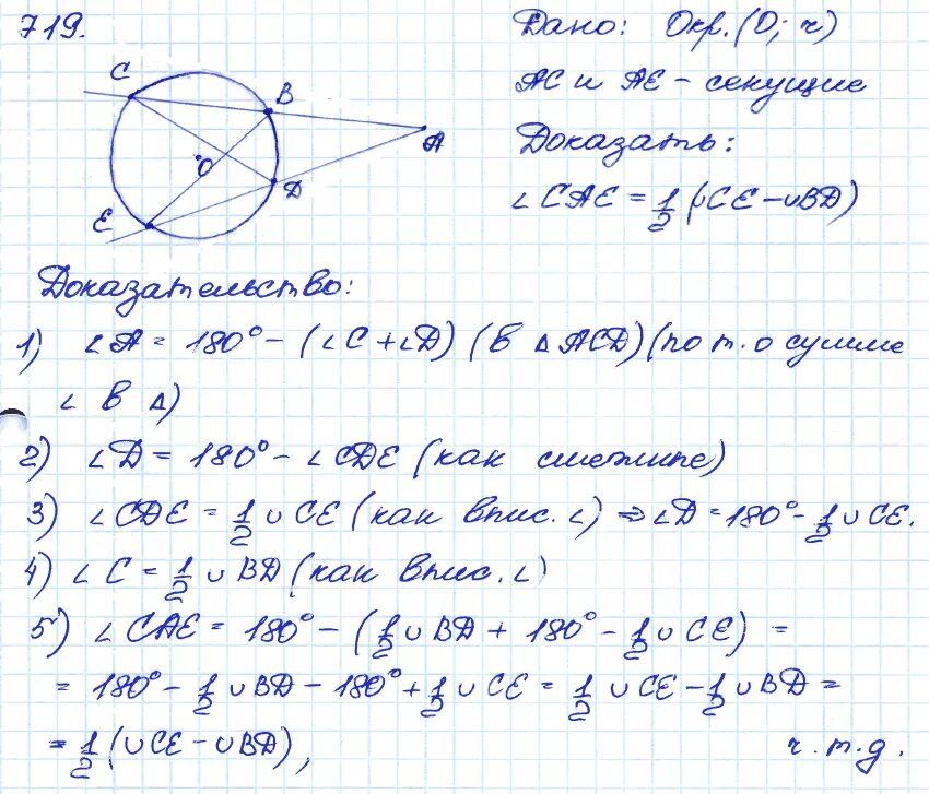
Геометрия 8 класс страница 166 номер 639