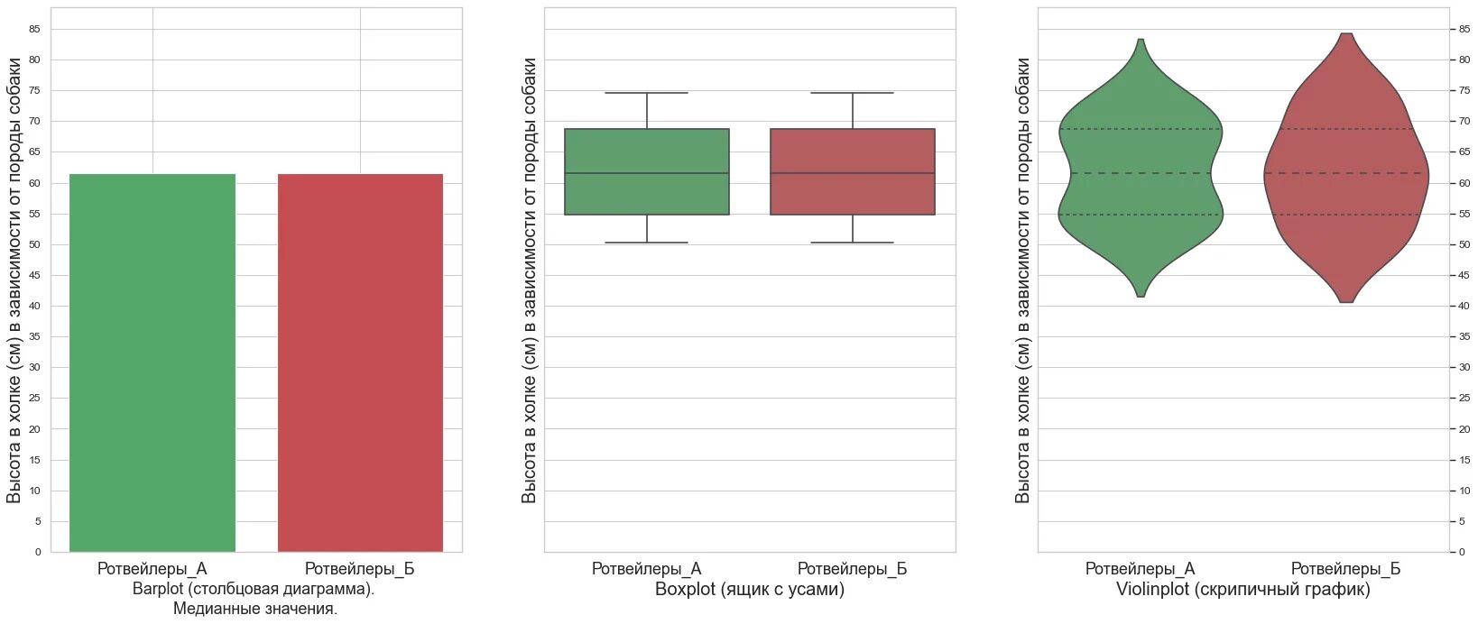
Гистограмма ящик с усами