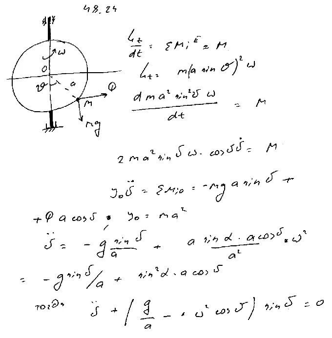
Гладкий диск радиусом