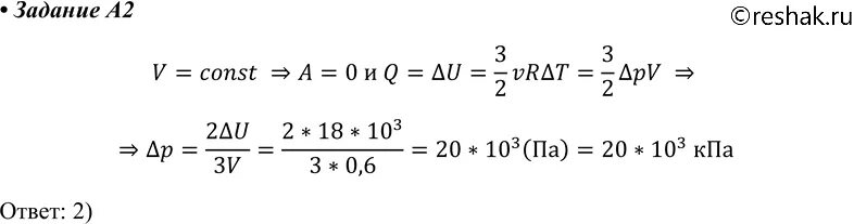
Идеальный одноатомный газ находится в неподвижном сосуде