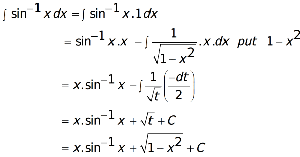
Интеграл функции sin x