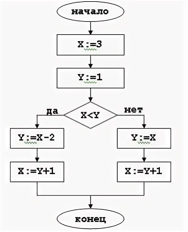
Исполните алгоритм при 10 15