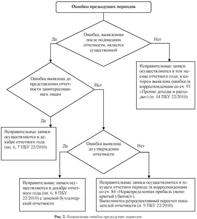
Исправление в отчетности ошибок прошлых лет