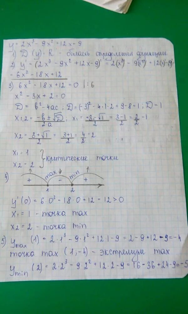
Исследование функции x 2 x 3