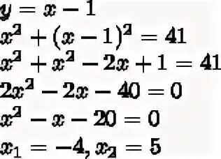
Известно что уравнение х2 р 3