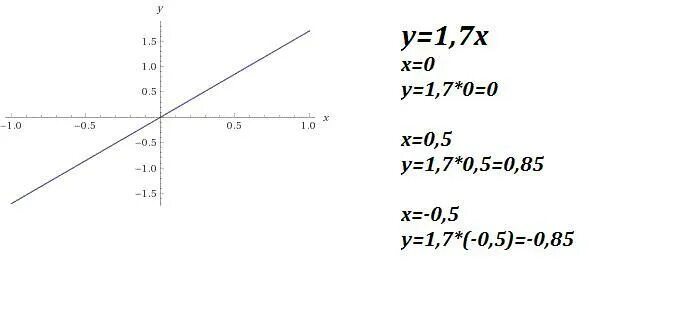
Как схематически показать график функции