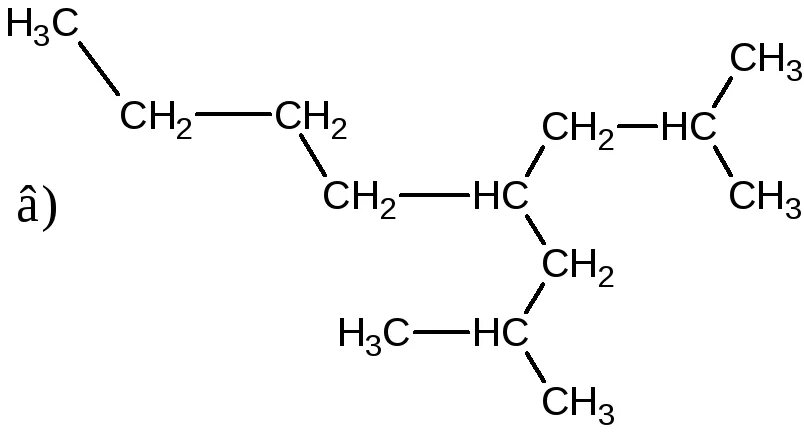
Какие углеводороды получаются при действии металлического натрия