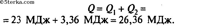
Какое количество теплоты выделилось при охлаждении