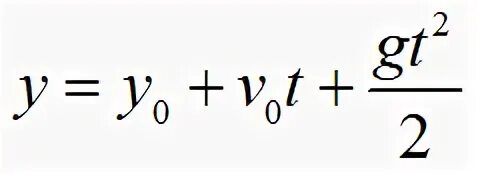
Какую ситуацию описывает формула