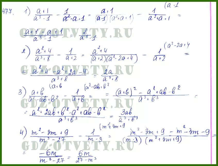
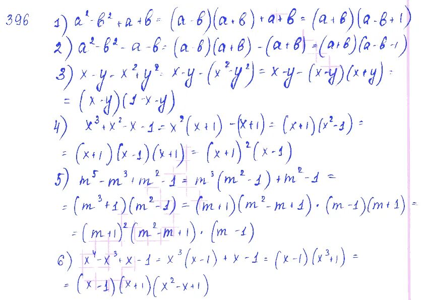
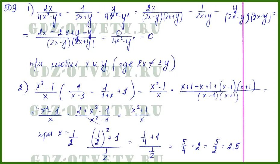
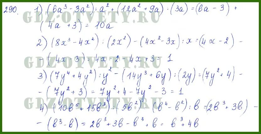
Колягин 7