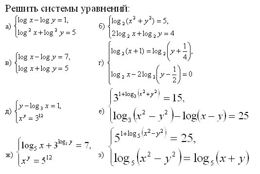
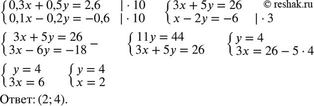
Контрольная работа 11 класс решение систем уравнений