
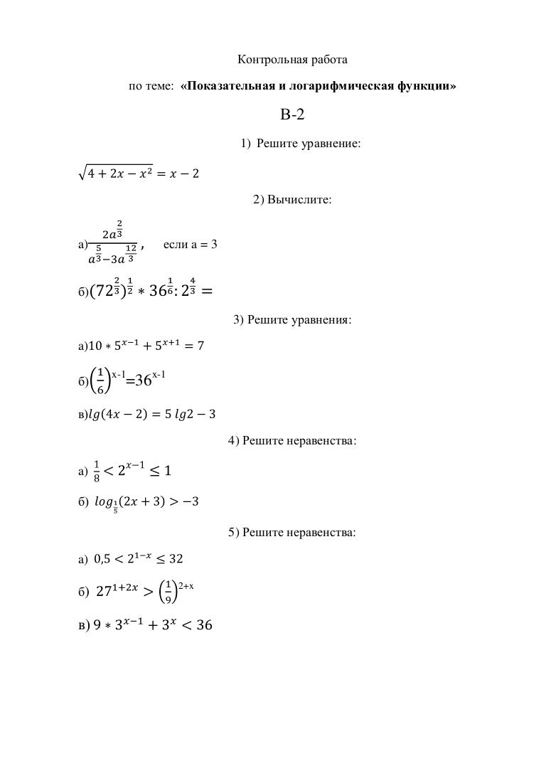
Контрольная работа по теме показательная функция ответы. Контрольная работа по алгебре 10 класс логарифмическая функция. контрольная алгебра 11 класс логарифмические функции. контрольная 10 класс алгебра логарифмическая функция. контрольная работа мордкович 11 показательная функция.
