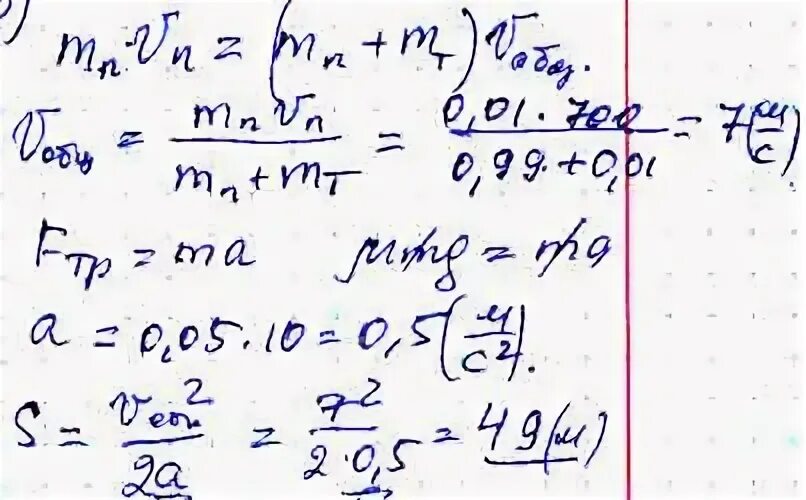
Летевшая горизонтально пуля массы m попала