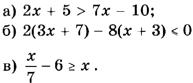
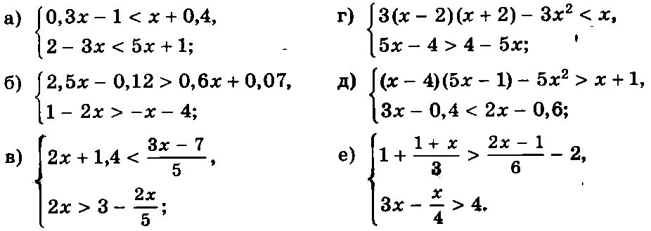
Линейные неравенства 8 класс алгебра самостоятельная работа