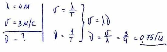
Лодка качается на волнах со скоростью 1.5