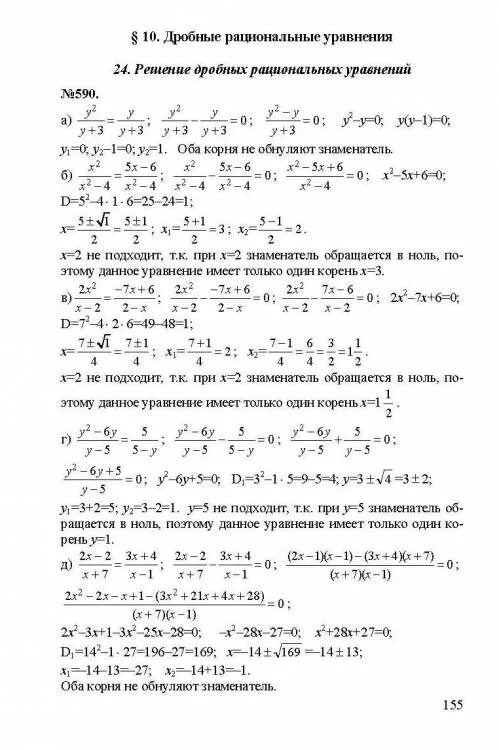
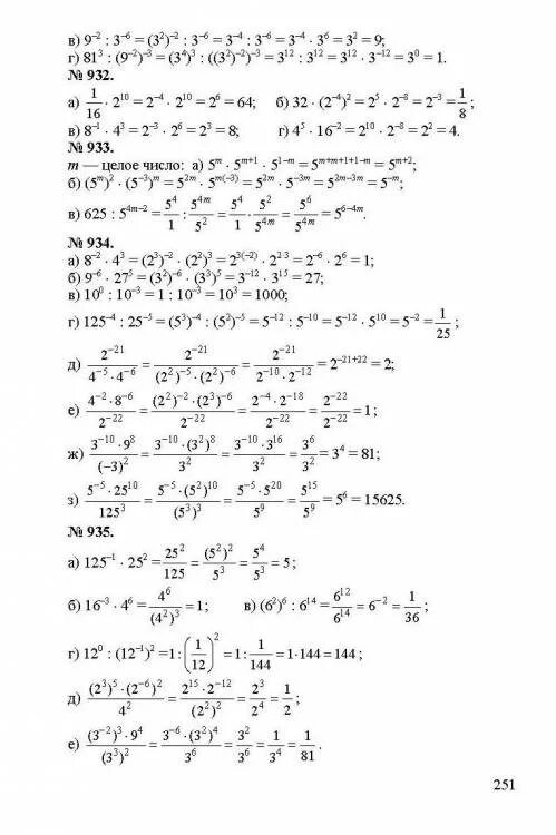
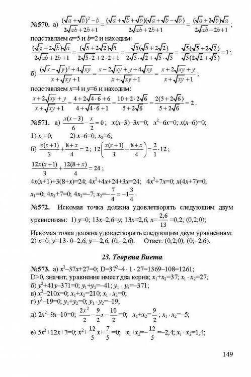
Макарычев миндюк нешков феоктистов алгебра 8