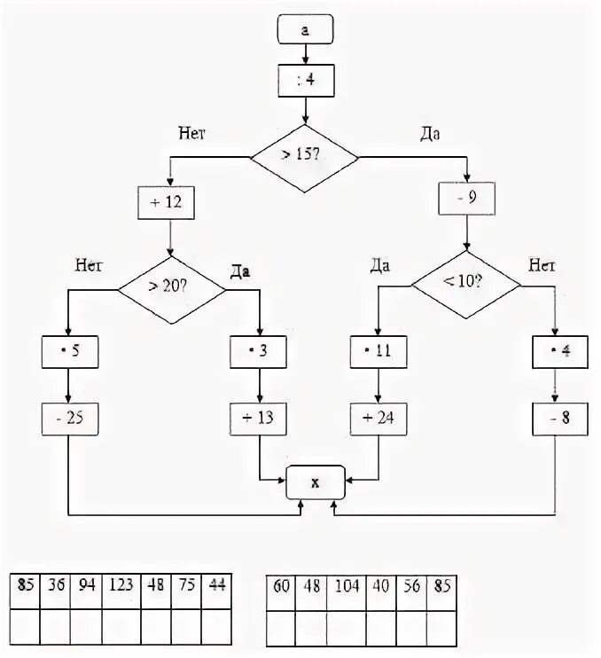
Марсобот идет по лабиринту используя заданный алгоритм