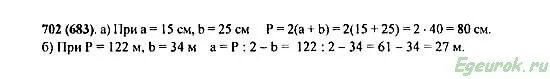
Математика 5 класс номер 107